Официальное опубликование правовых актов
ОФИЦИАЛЬНОЕ ОПУБЛИКОВАНИЕ
Приказ Департамента сельского хозяйства Брянской области от 14.02.2018 № 27
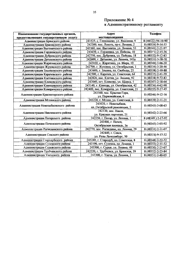
"Об утверждении административного регламента по предоставлению государственной услуги "Предоставление социальных выплат на строительство (приобретение) жилья гражданам, проживающим в сельской местности, в том числе молодым семьям и молодым специалистам"
Номер опубликования: 3201201802160002
Дата опубликования: 16.02.2018
Страница №37 из 37:
Увеличить