Официальное опубликование правовых актов
ОФИЦИАЛЬНОЕ ОПУБЛИКОВАНИЕ
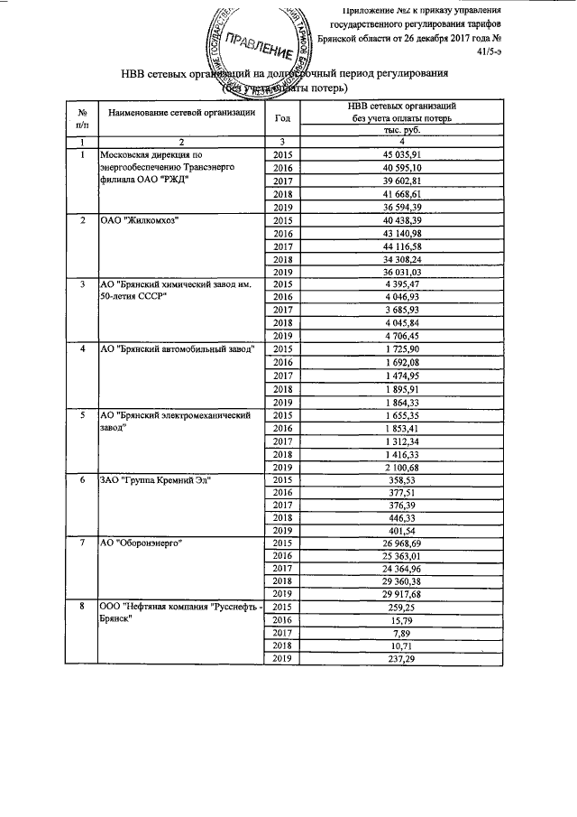
Приказ Управления государственного регулирования тарифов Брянской области от 26.12.2017 № 41/5-э
"О внесении изменений в приказ от 18 декабря 2014 года №54/25-э "О долгосрочных индивидуальных тарифах на услуги по передаче электрической энергии на территории Брянской области на 2015 - 2019 гг."
Номер опубликования: 3201201712280018
Дата опубликования: 28.12.2017
Страница №4 из 6:
Увеличить