Официальное опубликование правовых актов
ОФИЦИАЛЬНОЕ ОПУБЛИКОВАНИЕ
Приказ Департамента сельского хозяйства Брянской области от 07.12.2017 № 323
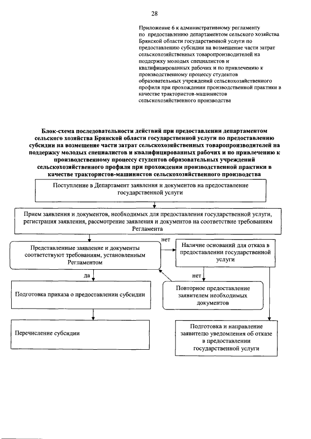
"Об утверждении административного регламента предоставления департаментом сельского хозяйства Брянской области государственной услуги по предоставлению субсидии на возмещение части затрат сельскохозяйственных товаропроизводителей на поддержку молодых специалистов и квалифицированных рабочих и по привлечению к производственному процессу студентов образовательных учреждений сельскохозяйственного профиля при прохождении производственной практики в качестве трактористов-машинистов сельскохозяйственного производства"
Номер опубликования: 3201201712080003
Дата опубликования: 08.12.2017
Страница №30 из 30:
Увеличить