Официальное опубликование правовых актов
ОФИЦИАЛЬНОЕ ОПУБЛИКОВАНИЕ
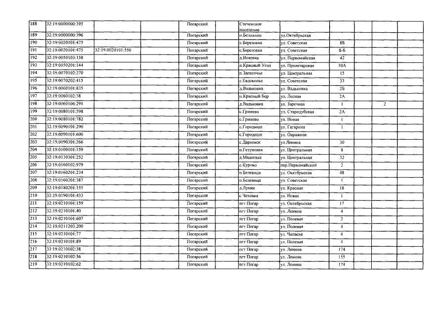
Приказ Управления имущественных отношений Брянской области от 27.11.2017 № 1324
"Об определении перечня объектов недвижимого имущества, расположенных на территории Погарского района Брянской области, в отношении которых в 2018 году налоговая база определяется как их кадастровая стоимость"
Номер опубликования: 3201201711300043
Дата опубликования: 30.11.2017
Страница №9 из 17:
Увеличить