Официальное опубликование правовых актов
ОФИЦИАЛЬНОЕ ОПУБЛИКОВАНИЕ
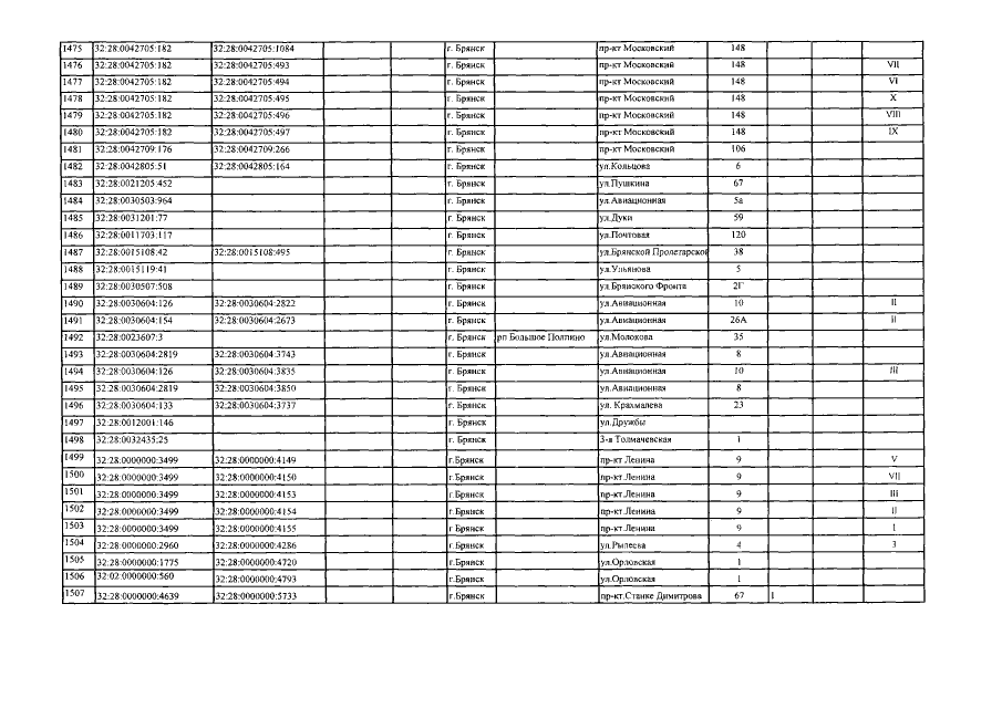
Приказ Управления имущественных отношений Брянской области от 24.11.2017 № 1300
"О внесении изменений в приказ от 24.11.2016 №1410 "Об определении Перечня объектов недвижимого имущества, расположенных на территории города Брянска Брянской области, в отношении которых в 2017 году налоговая база определяется как их кадастровая стоимость"
Номер опубликования: 3201201711300031
Дата опубликования: 30.11.2017
Страница №48 из 127:
Увеличить