Официальное опубликование правовых актов
ОФИЦИАЛЬНОЕ ОПУБЛИКОВАНИЕ
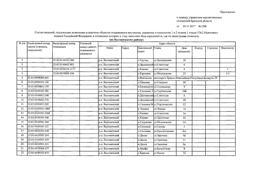
Приказ Управления имущественных отношений Брянской области от 24.11.2017 № 1298
"О внесении изменений в приказ от 26.10.2016 №1250 "Об определении Перечня объектов недвижимого имущества, расположенных на территории Выгоничского района Брянской области, в отношении которых в 2017 году налоговая база определяется как их кадастровая стоимость"
Номер опубликования: 3201201711300018
Дата опубликования: 30.11.2017
Страница №3 из 6:
Увеличить