Официальное опубликование правовых актов
ОФИЦИАЛЬНОЕ ОПУБЛИКОВАНИЕ
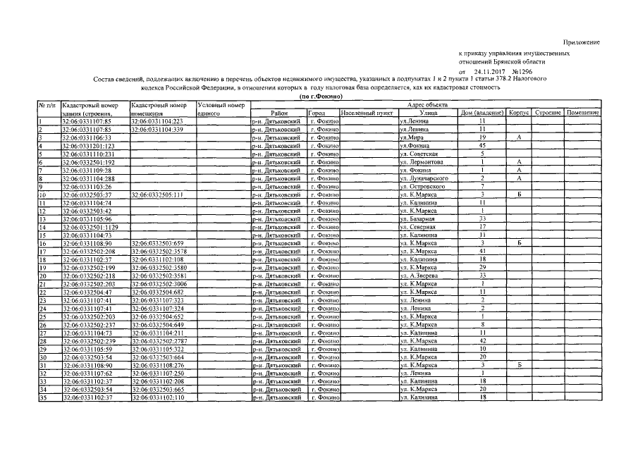
Приказ Управления имущественных отношений Брянской области от 24.11.2017 № 1296
"О внесении изменений в приказ от 26.10.2016 №1256 "Об определении перечня объектов недвижимого имущества, расположенных на территории города Фокино Брянской области, в отношении которых в 2017 году налоговая база определяется как их кадастровая стоимость"
Номер опубликования: 3201201711300013
Дата опубликования: 30.11.2017
Страница №3 из 5:
Увеличить