Официальное опубликование правовых актов
ОФИЦИАЛЬНОЕ ОПУБЛИКОВАНИЕ
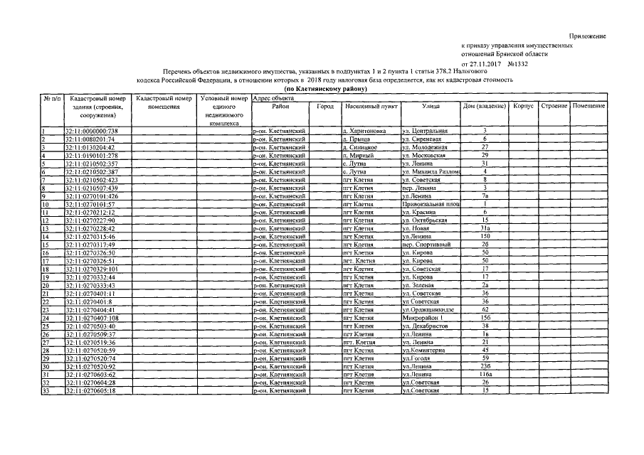
Приказ Управления имущественных отношений Брянской области от 27.11.2017 № 1332
"Об определении перечня объектов недвижимого имущества, расположенных на территории Клетнянского района Брянской области, в отношении которых в 2018 году налоговая база определяется как их кадастровая стоимость"
Номер опубликования: 3201201711300004
Дата опубликования: 30.11.2017
Страница №3 из 7:
Увеличить