Официальное опубликование правовых актов
ОФИЦИАЛЬНОЕ ОПУБЛИКОВАНИЕ
Приказ Управления имущественных отношений Брянской области от 30.10.2017 № 1205
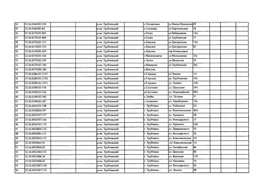
"О внесении изменений в приказ от 26.10.2016 №1279 "Об определении перечня объектов недвижимого имущества, расположенных на территории Трубчевского района Брянской области, в отношении которых в 2017 году налоговая база определяется как их кадастровая стоимость"
Номер опубликования: 3201201711020013
Дата опубликования: 02.11.2017
Страница №4 из 11:
Увеличить