Официальное опубликование правовых актов
ОФИЦИАЛЬНОЕ ОПУБЛИКОВАНИЕ
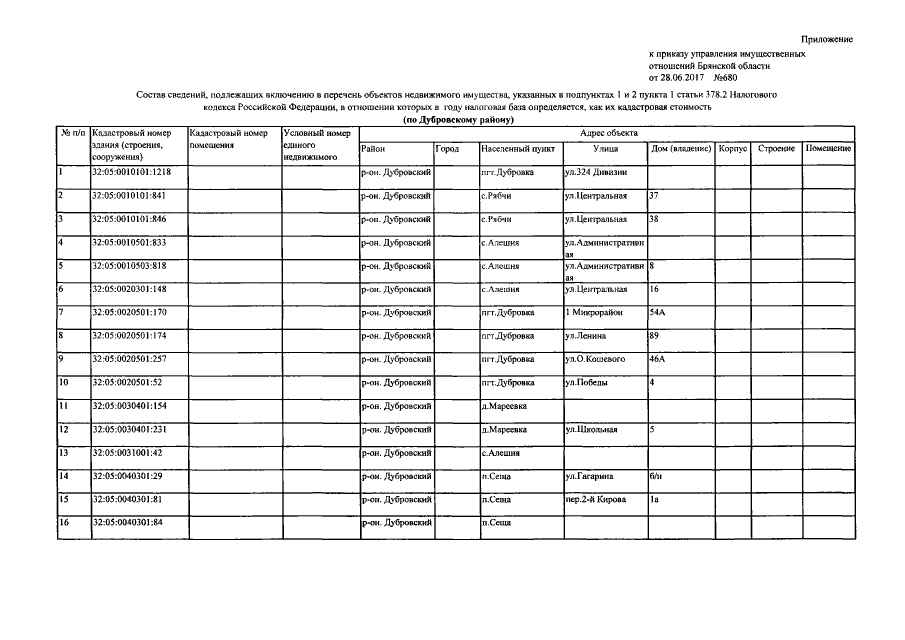
Приказ Управления имущественных отношений Брянской области от 28.06.2017 № 680
"О внесении изменений в приказ от 26.10.2016 №1257 "Об определении Перечня объектов недвижимого имущества, расположенных на территории Дубровского района Брянской области, в отношении которых в 2017 году налоговая база определяется как их кадастровая стоимость"
Номер опубликования: 3201201707040005
Дата опубликования: 04.07.2017
Страница №3 из 7:
Увеличить