Официальное опубликование правовых актов
ОФИЦИАЛЬНОЕ ОПУБЛИКОВАНИЕ
Приказ Управления имущественных отношений Брянской области от 28.06.2017 № 679
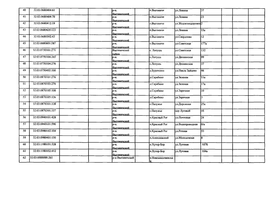
"О внесении изменений в приказ от 26.10.2016 №1250 "Об определении Перечня объектов недвижимого имущества, расположенных на территории Выгоничского района Брянской области, в отношении которых в 2017 году налоговая база определяется как их кадастровая стоимость"
Номер опубликования: 3201201707040001
Дата опубликования: 04.07.2017
Страница №5 из 8:
Увеличить