Приказ Управления имущественных отношений Брянской области от 20.04.2017 № 381
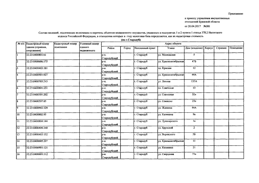
"О внесении изменений в приказ от 26.10.2016 №1255 "Об определении перечня объектов недвижимого имущества, расположенных на территории города Стародуба Брянской области, в отношении которых в 2017 году налоговая база определяется как их кадастровая стоимость"
"О внесении изменений в приказ от 26.10.2016 №1255 "Об определении перечня объектов недвижимого имущества, расположенных на территории города Стародуба Брянской области, в отношении которых в 2017 году налоговая база определяется как их кадастровая стоимость"
Номер опубликования: 3201201704280027
Дата опубликования:
28.04.2017
