Официальное опубликование правовых актов
ОФИЦИАЛЬНОЕ ОПУБЛИКОВАНИЕ
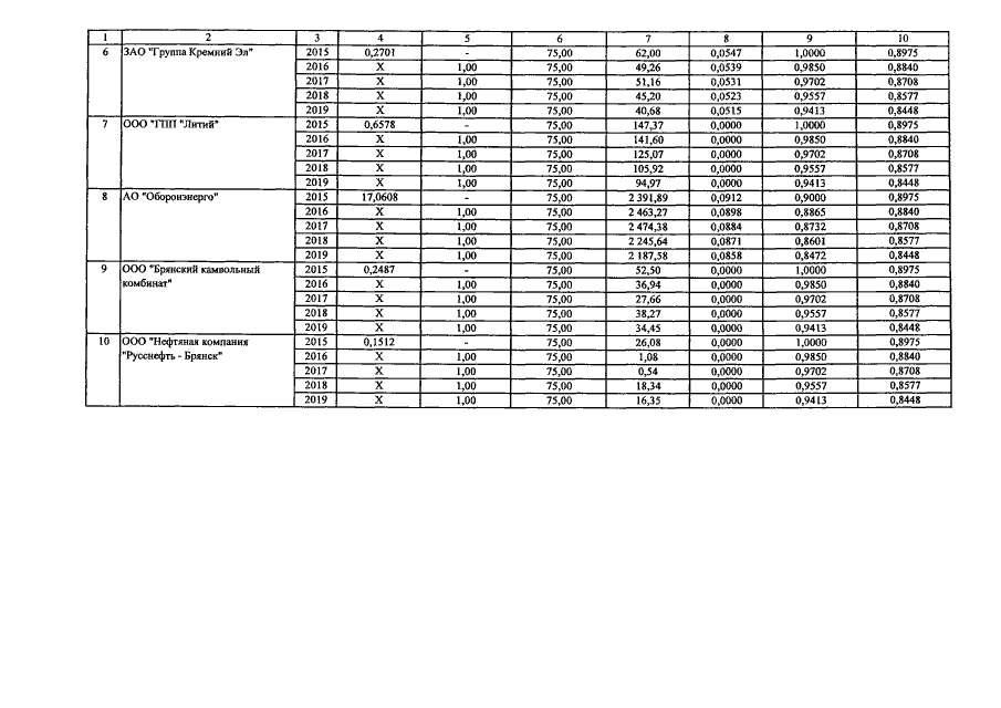
Приказ Управления государственного регулирования тарифов Брянской области от 27.12.2016 № 40/4-э
"О внесении изменений в приказ от 18 декабря 2014 года №54/25-э "О долгосрочных индивидуальных тарифах на услуги по передаче электрической энергии на территории Брянской области на 2015 - 2019 гг."
Номер опубликования: 3201201612290020
Дата опубликования: 29.12.2016
Страница №6 из 6:
Увеличить