Приказ Управления имущественных отношений Брянской области от 26.12.2016 № 1574
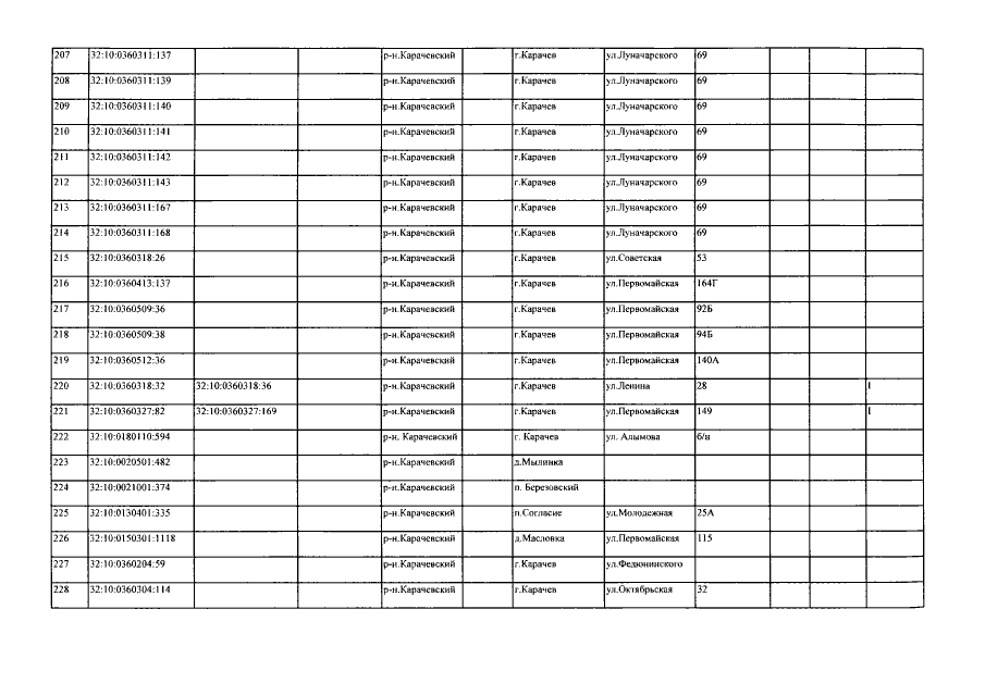
"О внесении изменений в приказ от 26.10.2016 № 1262 "Об определении перечня объектов недвижимого имущества, расположенных на территории Карачевского района Брянской области, в отношении которых в 2017 году налоговая база определяется как их кадастровая стоимость"
"О внесении изменений в приказ от 26.10.2016 № 1262 "Об определении перечня объектов недвижимого имущества, расположенных на территории Карачевского района Брянской области, в отношении которых в 2017 году налоговая база определяется как их кадастровая стоимость"
Номер опубликования: 3201201612280009
Дата опубликования:
28.12.2016
