Официальное опубликование правовых актов
ОФИЦИАЛЬНОЕ ОПУБЛИКОВАНИЕ
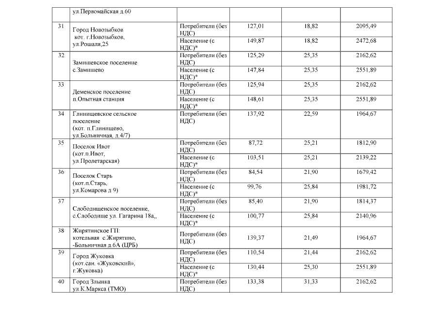
Приказ Управления государственного регулирования тарифов Брянской области от 20.12.2016 № 38/14-гвс
"О тарифах на горячую воду"
Номер опубликования: 3201201612270068
Дата опубликования: 27.12.2016
Страница №14 из 17:
Увеличить