Приказ Управления государственного регулирования тарифов Брянской области от 30.11.2016 № 34/6-вк
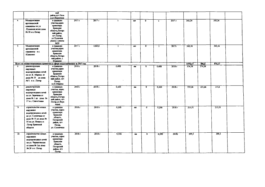
"Об утверждении инвестиционной программы муниципального унитарного предприятия "Погарский районный водоканал" по развитию, реконструкции и модернизации системы холодного водоснабжения муниципального образования "Погарский район" на 2017-2019 годы"
"Об утверждении инвестиционной программы муниципального унитарного предприятия "Погарский районный водоканал" по развитию, реконструкции и модернизации системы холодного водоснабжения муниципального образования "Погарский район" на 2017-2019 годы"
Номер опубликования: 3201201612070013
Дата опубликования:
07.12.2016
