Официальное опубликование правовых актов
ОФИЦИАЛЬНОЕ ОПУБЛИКОВАНИЕ
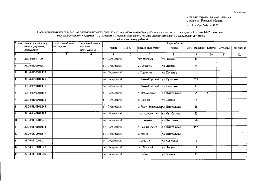
Приказ Управления имущественных отношений Брянской области от 18.11.2016 № 1372
"О внесении изменений в приказ от 26.10.2016 №1271 "Об определении перечня объектов недвижимого имущества, расположенных на территории Гордеевского района Брянской области, в отношении которых в 2017 году налоговая база определяется как их кадастровая стоимость"
Номер опубликования: 3201201611210010
Дата опубликования: 21.11.2016
Страница №3 из 7:
Увеличить