Официальное опубликование правовых актов
ОФИЦИАЛЬНОЕ ОПУБЛИКОВАНИЕ
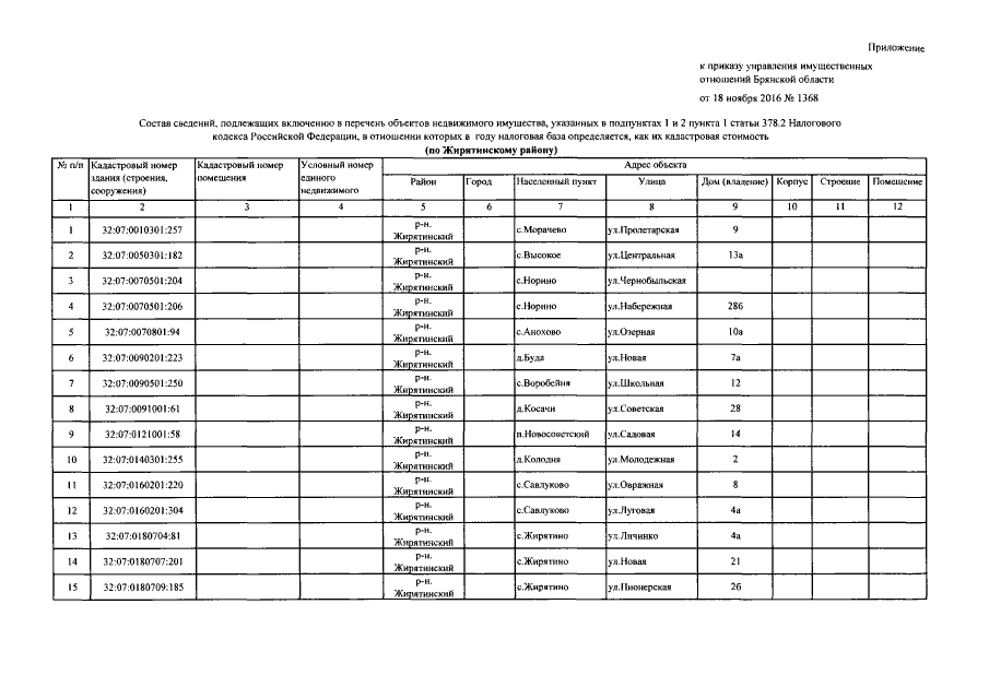
Приказ Управления имущественных отношений Брянской области от 18.11.2016 № 1368
"О внесении изменений в приказ от 26.10.2016 №1259 "Об определении перечня объектов недвижимого имущества, расположенных на территории Жирятинского района Брянской области, в отношении которых в 2017 году налоговая база определяется как их кадастровая стоимость"
Номер опубликования: 3201201611210009
Дата опубликования: 21.11.2016
Страница №3 из 5:
Увеличить