Официальное опубликование правовых актов
ОФИЦИАЛЬНОЕ ОПУБЛИКОВАНИЕ
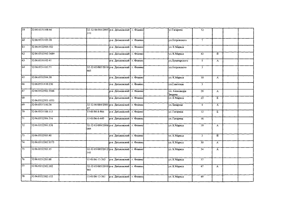
Приказ Управления имущественных отношений Брянской области от 26.10.2016 № 1256
"Об определении перечня объектов недвижимого имущества, расположенных на территории города Фокино Брянской области, в отношении которых в 2017 году налоговая база определяется как их кадастровая стоимость"
Номер опубликования: 3201201610310003
Дата опубликования: 31.10.2016
Страница №6 из 7:
Увеличить