Официальное опубликование правовых актов
ОФИЦИАЛЬНОЕ ОПУБЛИКОВАНИЕ
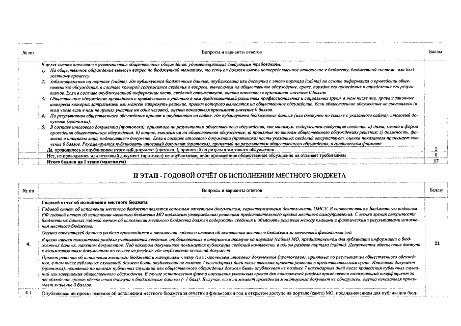
Приказ Департамента финансов Брянской области от 09.06.2016 № 91
"Об утверждении Методики проведения мониторинга и составления рейтинга муниципальных образований Брянской области по уровню открытости бюджетных данных"
Номер опубликования: 3201201606170001
Дата опубликования: 17.06.2016
Страница №6 из 24:
Увеличить