Официальное опубликование правовых актов
ОФИЦИАЛЬНОЕ ОПУБЛИКОВАНИЕ
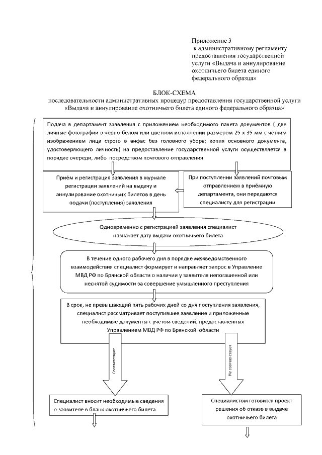
Приказ Департамента природных ресурсов и экологии Брянской области от 29.03.2016 № 153
"Об утверждении административного регламента предоставления государственной услуги "Выдача и аннулирование охотничьего билета единого федерального образца"
Номер опубликования: 3201201603300002
Дата опубликования: 30.03.2016
Страница №17 из 20:
Увеличить