Официальное опубликование правовых актов
ОФИЦИАЛЬНОЕ ОПУБЛИКОВАНИЕ
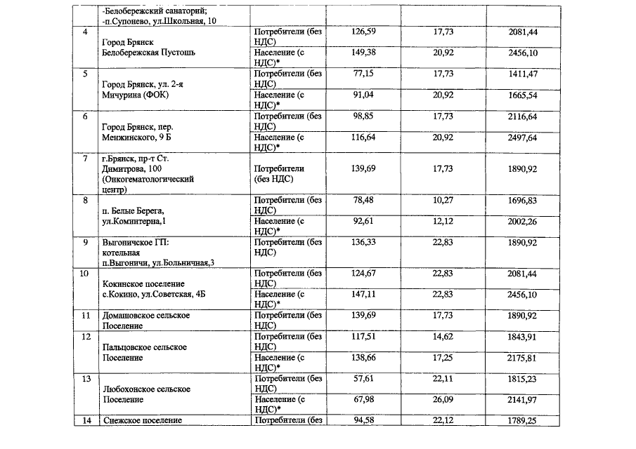
Приказ Управления государственного регулирования тарифов Брянской области от 18.12.2015 № 41/102-гвс
"О тарифах на горячую воду"
Номер опубликования: 3201201512240030
Дата опубликования: 24.12.2015
Страница №11 из 17:
Увеличить