Официальное опубликование правовых актов
ОФИЦИАЛЬНОЕ ОПУБЛИКОВАНИЕ
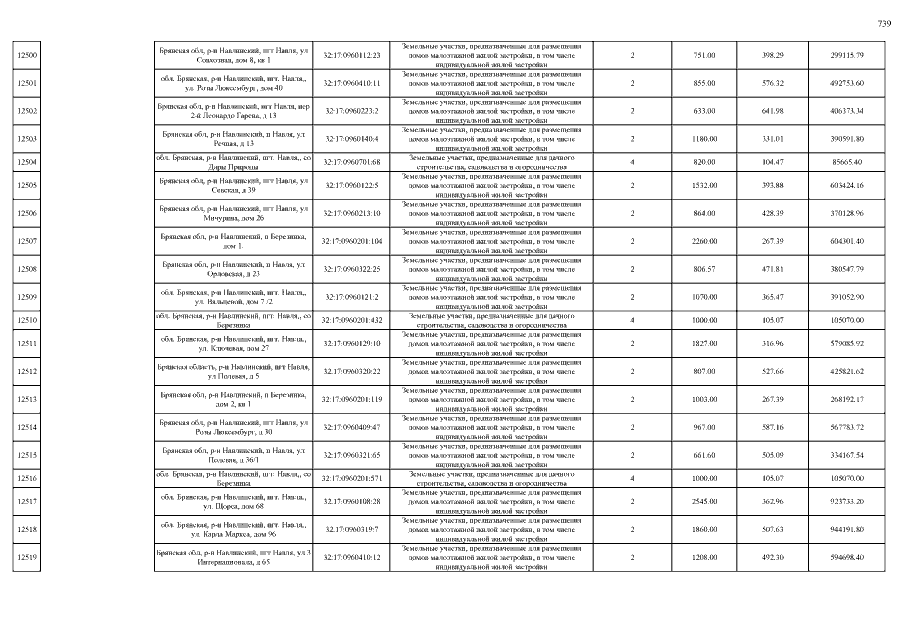
Приказ Управления имущественных отношений Брянской области от 26.11.2015 № 1875
"Об утверждении результатов определения кадастровой стоимости земельных участков, относящихся к категории земель населённых пунктов, расположенных на территории муниципального района "Навлинский"
Номер опубликования: 3201201511270025
Дата опубликования: 27.11.2015
Страница №741 из 969:
Увеличить