Официальное опубликование правовых актов
ОФИЦИАЛЬНОЕ ОПУБЛИКОВАНИЕ
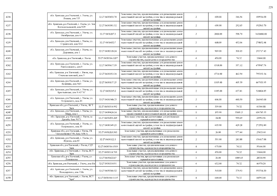
Приказ Управления имущественных отношений Брянской области от 26.11.2015 № 1885
"Об утверждении результатов определения кадастровой стоимости земельных участков, относящихся к категории земель населённых пунктов, расположенных на территории муниципального района "Унечский"
Номер опубликования: 3201201511270024
Дата опубликования: 27.11.2015
Страница №230 из 1190:
Увеличить