Официальное опубликование правовых актов
ОФИЦИАЛЬНОЕ ОПУБЛИКОВАНИЕ
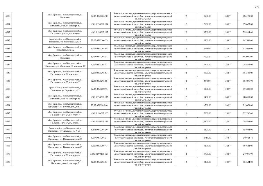
Приказ Управления имущественных отношений Брянской области от 26.11.2015 № 1861
"Об утверждении результатов определения кадастровой стоимости земельных участков, относящихся к категории земель населенных пунктов, расположенных на территории муниципального района "Выгоничский"
Номер опубликования: 3201201511270021
Дата опубликования: 27.11.2015
Страница №274 из 895:
Увеличить