Официальное опубликование правовых актов
ОФИЦИАЛЬНОЕ ОПУБЛИКОВАНИЕ
Приказ Управления имущественных отношений Брянской области от 26.11.2015 № 1853
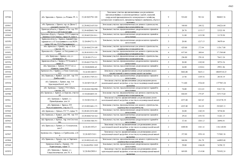
"Об утверждении результатов определения кадастровой стоимости земельных участков, относящихся к категории земель населённых пунктов, расположенных на территории городского округа "Город Брянск"
Номер опубликования: 3201201511260003
Дата опубликования: 26.11.2015
Страница №4967 из 4976:
Увеличить