Официальное опубликование правовых актов
ОФИЦИАЛЬНОЕ ОПУБЛИКОВАНИЕ
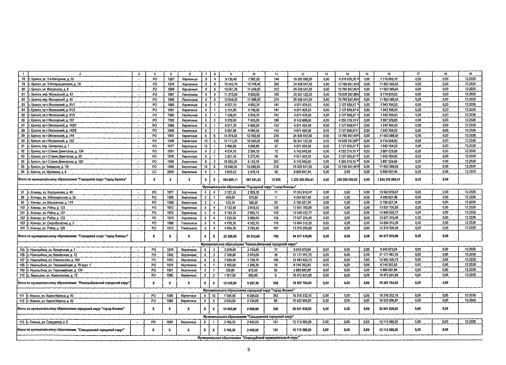
Постановление Правительства Брянской области от 16.03.2026 № 98-п
"О внесении изменений в краткосрочный (2026 — 2028 годы) план реализации региональной программы "Проведение капитального ремонта общего имущества многоквартирных домов на территории Брянской области" (2014 — 2052 годы)"
Номер опубликования: 3200202603240005
Дата опубликования: 24.03.2026
Страница №5 из 69:
Увеличить