Официальное опубликование правовых актов
ОФИЦИАЛЬНОЕ ОПУБЛИКОВАНИЕ
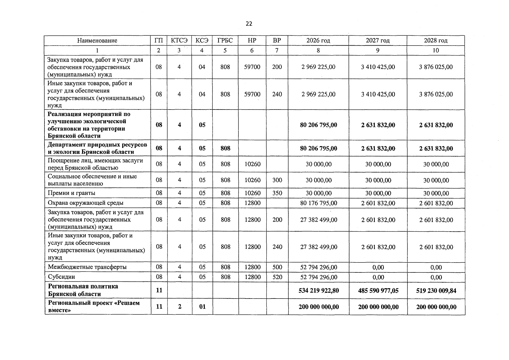
Закон Брянской области от 12.12.2025 № 105-З
"Об областном бюджете на 2026 год и на плановый период 2027 и 2028 годов"
Номер опубликования: 3200202512170004
Дата опубликования: 17.12.2025
Страница №554 из 891:
Увеличить