Официальное опубликование правовых актов
ОФИЦИАЛЬНОЕ ОПУБЛИКОВАНИЕ
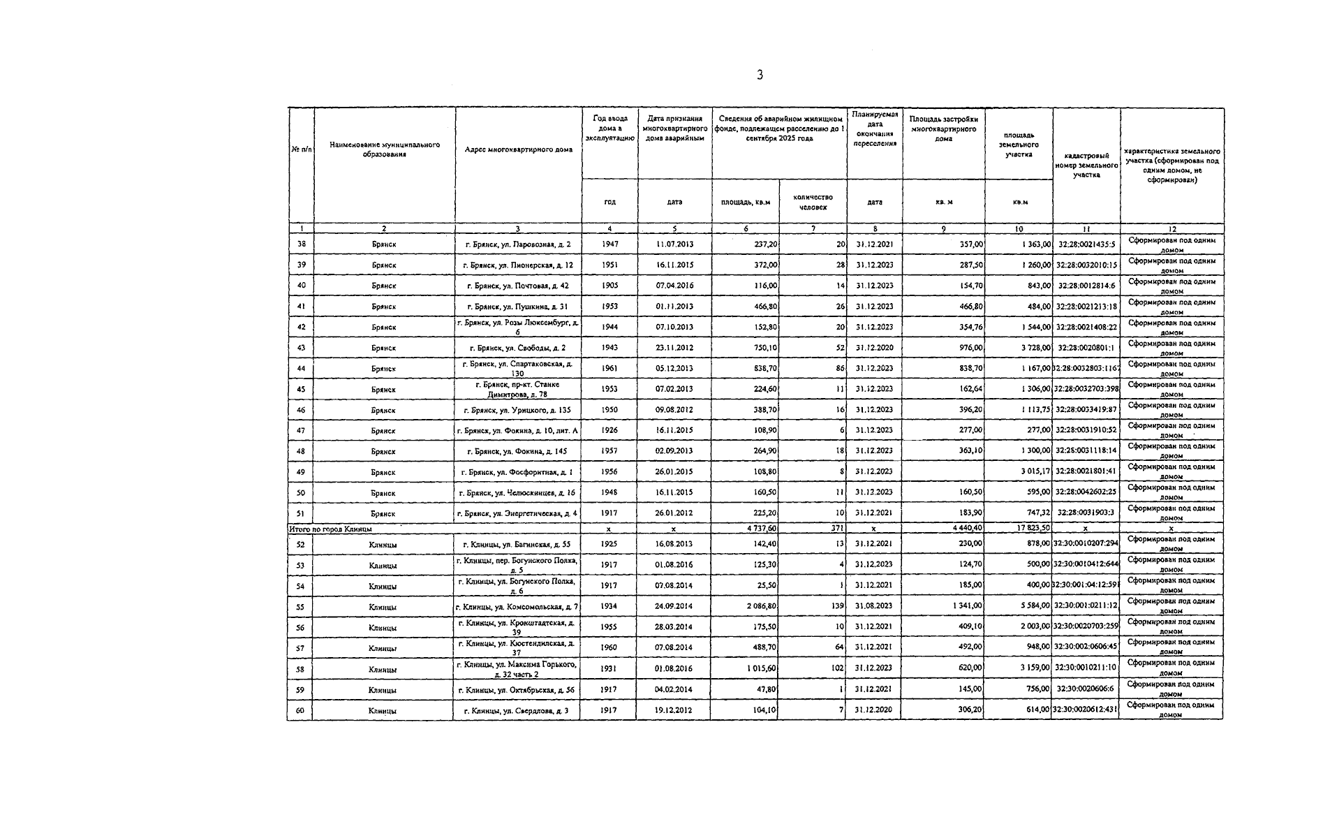
Постановление Правительства Брянской области от 19.11.2025 № 590-п
"Об итогах выполнения региональной адресной программы "Переселение граждан из аварийного жилищного фонда на территории Брянской области" (2019 — 2023 годы)"
Номер опубликования: 3200202511240006
Дата опубликования: 24.11.2025
Страница №7 из 12:
Увеличить