Официальное опубликование правовых актов
ОФИЦИАЛЬНОЕ ОПУБЛИКОВАНИЕ
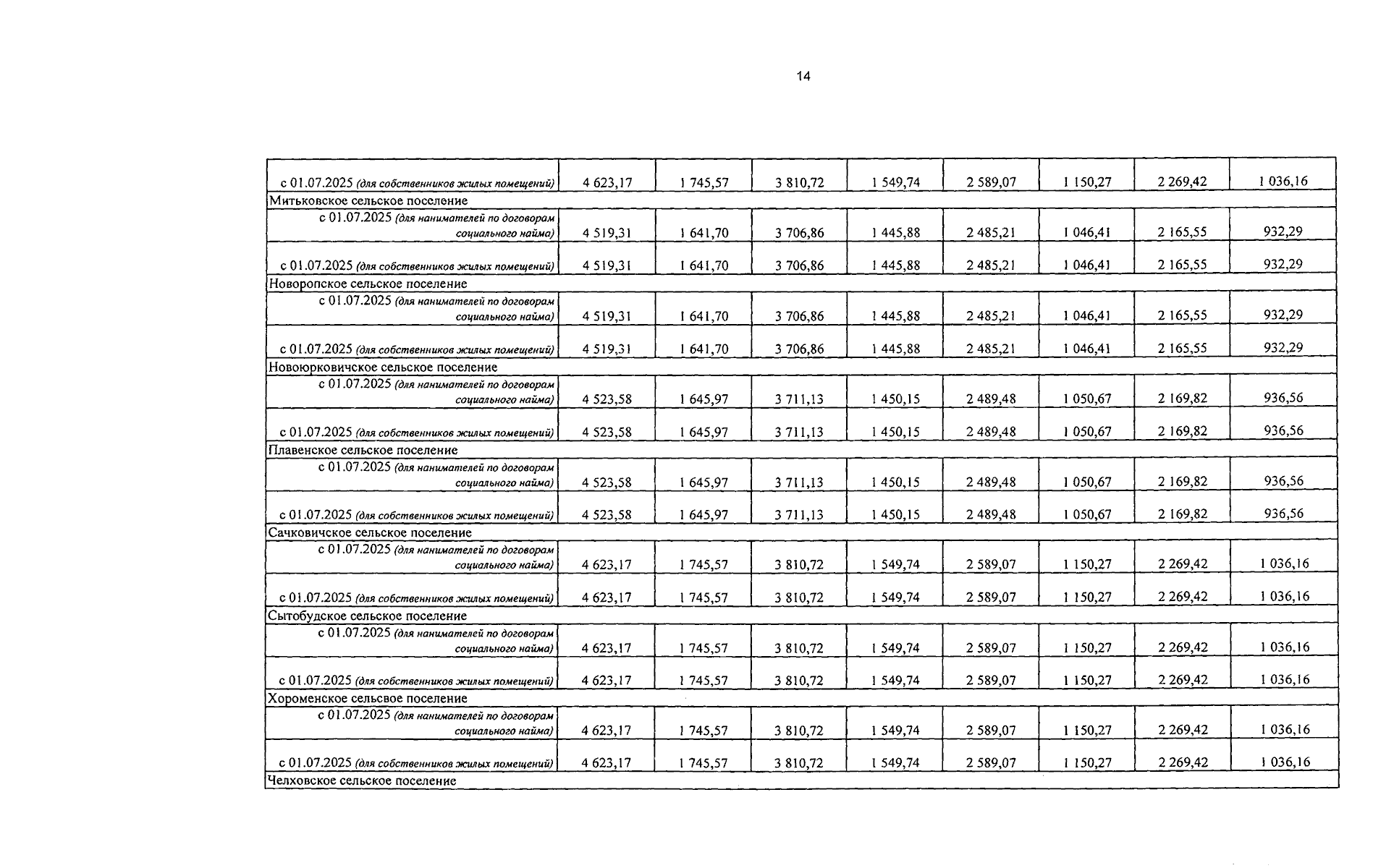
Постановление Правительства Брянской области от 01.11.2025 № 534-п
"О региональных стандартах стоимости жилищно-коммунальных услуг‚ используемых для расчета субсидий на оплату жилого помещения и коммунальных услуг"
Номер опубликования: 3200202511060008
Дата опубликования: 06.11.2025
Страница №16 из 45:
Увеличить