Официальное опубликование правовых актов
ОФИЦИАЛЬНОЕ ОПУБЛИКОВАНИЕ
Постановление Правительства Брянской области от 20.10.2025 № 513-п
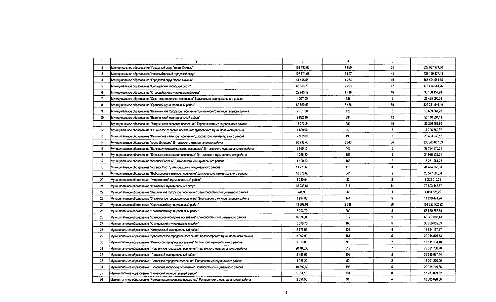
"О внесении изменений в краткосрочный (2023 — 2025 годы) план реализации региональной программы "Проведение капитального ремонта общего имущества многоквартирных домов на территории Брянской области"(2014 — 2052 годы)"
Номер опубликования: 3200202510270003
Дата опубликования: 27.10.2025
Страница №68 из 69:
Увеличить