Официальное опубликование правовых актов
ОФИЦИАЛЬНОЕ ОПУБЛИКОВАНИЕ
Постановление Правительства Брянской области от 25.08.2025 № 436-п
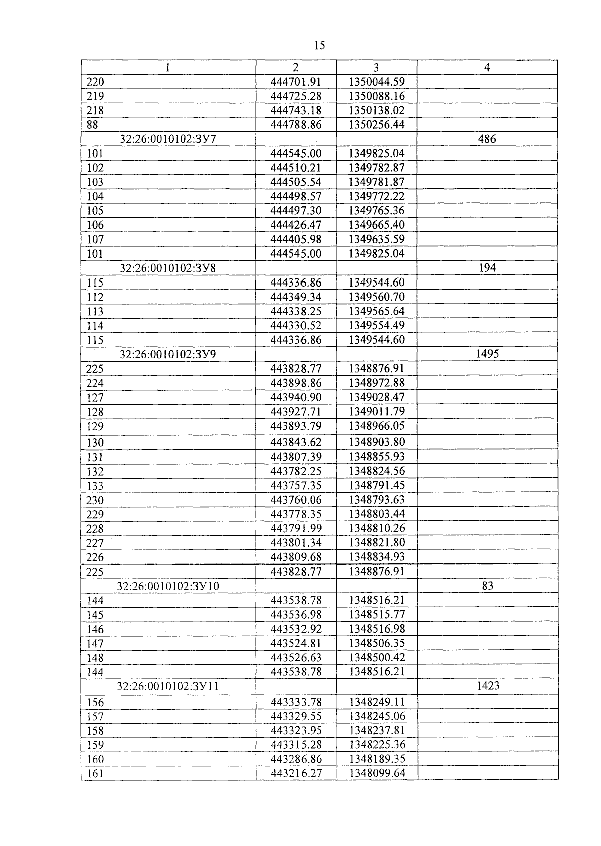
"О внесении изменений в основную часть проекта межевания территории для размещения линейного объекта "Реконструкция автомобильной дороги Яковск — Копылин на участке км 0+200 — км 3+300 в Трубчевском районе Брянской области"
Номер опубликования: 3200202508280002
Дата опубликования: 28.08.2025
Страница №15 из 23:
Увеличить