Официальное опубликование правовых актов
ОФИЦИАЛЬНОЕ ОПУБЛИКОВАНИЕ
Постановление Правительства Брянской области от 07.07.2025 № 335-п
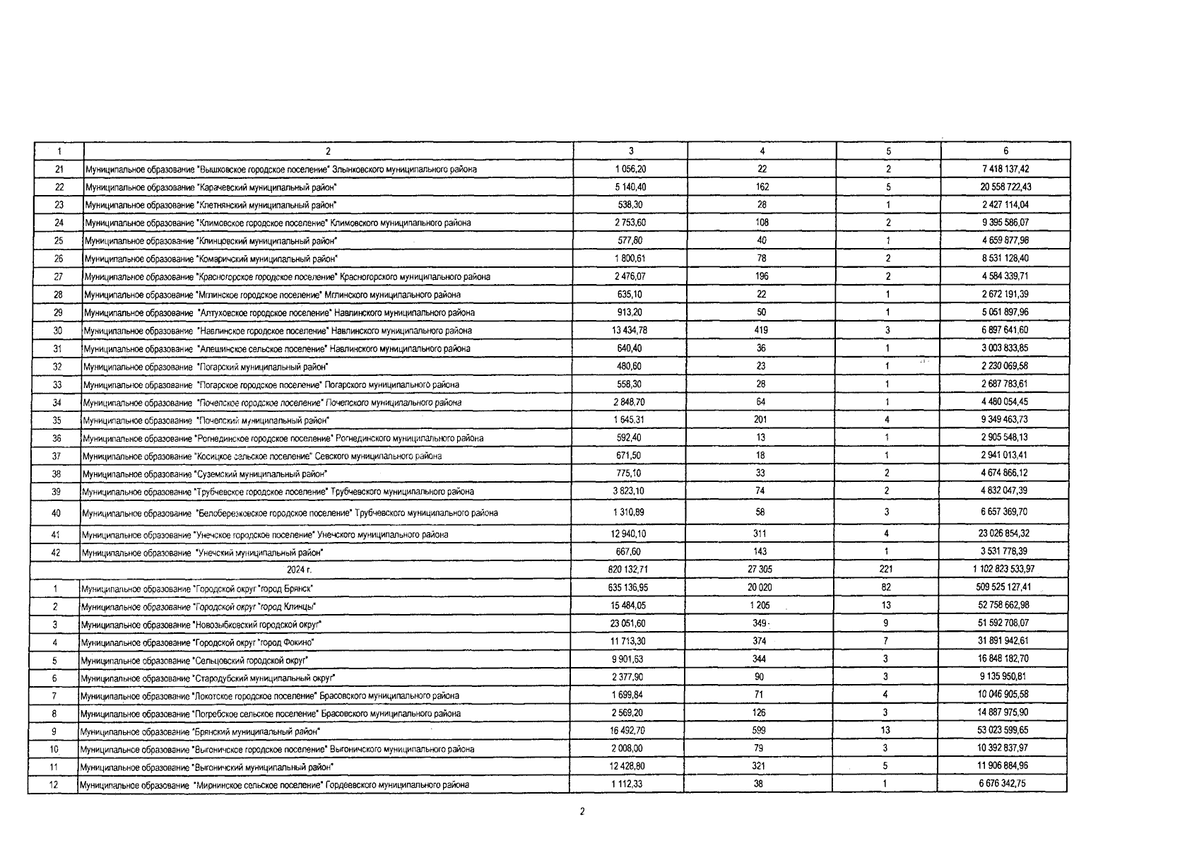
"О внесении изменений в постановление Правительства Брянской области от 16 мая 2022 года № 194-п "Об утверждении краткосрочного (2023 — 2025 годы) плана реализации региональной программы "Проведение капитального ремонта общего имущества многоквартирных домов на территории Брянской области" (2014 — 2043 годы)"
Номер опубликования: 3200202507110011
Дата опубликования: 11.07.2025
Страница №66 из 69:
Увеличить