Официальное опубликование правовых актов
ОФИЦИАЛЬНОЕ ОПУБЛИКОВАНИЕ
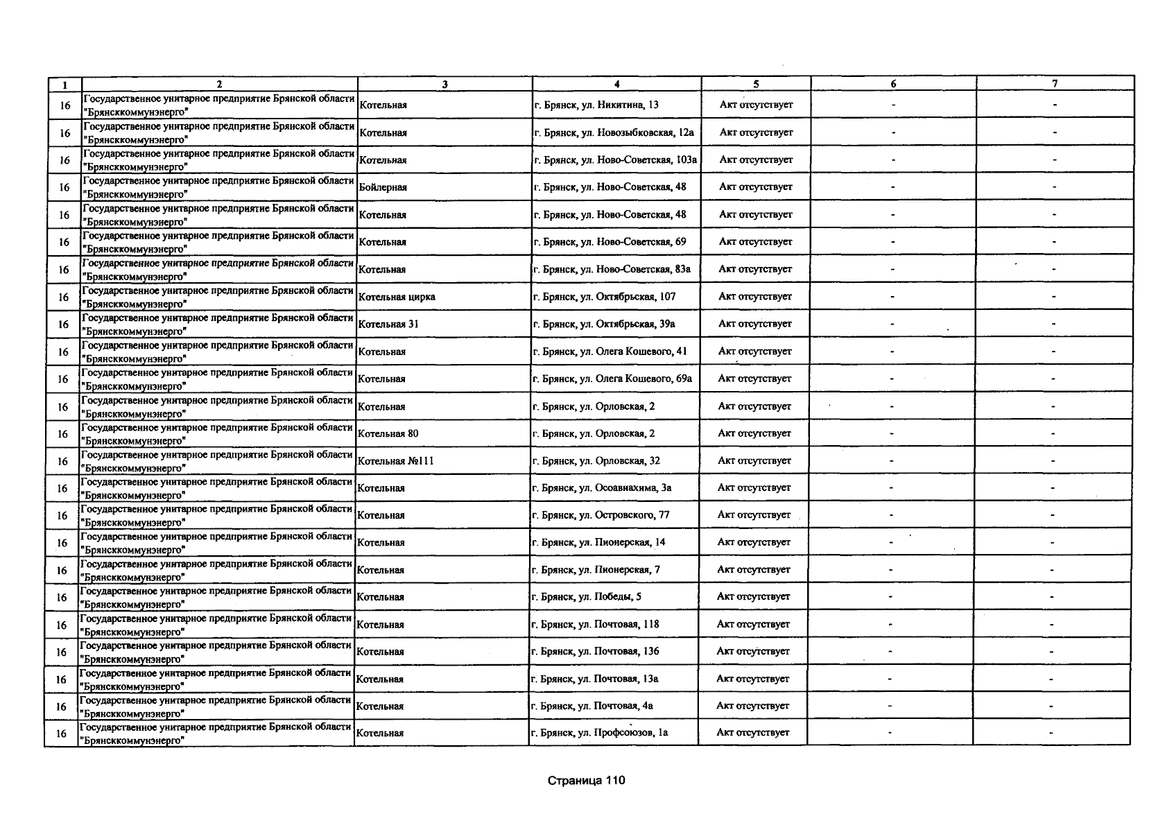
Распоряжение Губернатора Брянской области от 30.06.2025 № 610-рг
"Об утверждении перечня потребителей электрической энергии (мощности), ограничение режима потребления электрической энергии которых может привести к экономическим, экологическим, социальным последствиям на территории Брянской области"
Номер опубликования: 3200202507040010
Дата опубликования: 04.07.2025
Страница №112 из 251:
Увеличить