Официальное опубликование правовых актов
ОФИЦИАЛЬНОЕ ОПУБЛИКОВАНИЕ
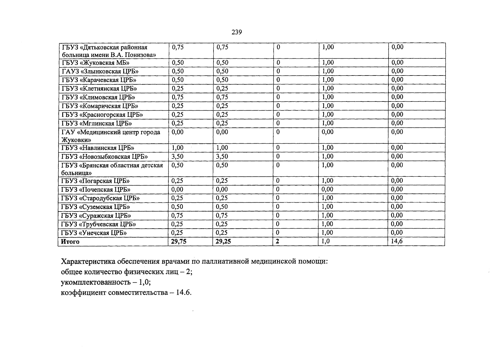
Постановление Правительства Брянской области от 23.06.2025 № 316-п
"Об утверждении региональной программы Брянской области "Борьба с онкологическими заболеваниями"
Номер опубликования: 3200202506270022
Дата опубликования: 27.06.2025
Страница №241 из 389:
Увеличить