Официальное опубликование правовых актов
ОФИЦИАЛЬНОЕ ОПУБЛИКОВАНИЕ
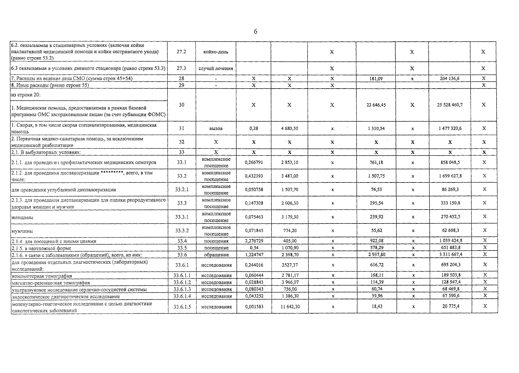
Постановление Правительства Брянской области от 17.03.2025 № 141-п
"О внесении изменений в территориальную программу государственных гарантий бесплатного оказания гражданам медицинской помощи на 2025 год и на плановый период 2026 и 2027 годов"
Номер опубликования: 3200202503260003
Дата опубликования: 26.03.2025
Страница №72 из 104:
Увеличить