Официальное опубликование правовых актов
ОФИЦИАЛЬНОЕ ОПУБЛИКОВАНИЕ
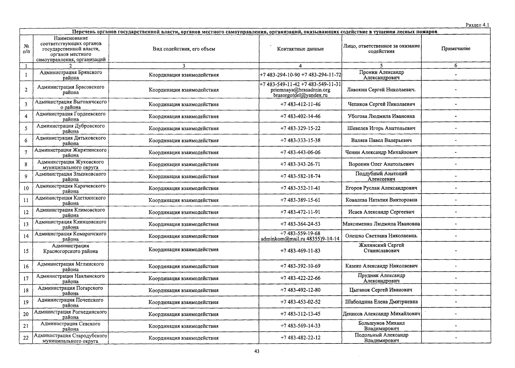
Указ Губернатора Брянской области от 17.03.2025 № 30
"Об утверждении сводного плана тушения лесных пожаров на территории Брянской области на период пожароопасного сезона 2025 года"
Номер опубликования: 3200202503250001
Дата опубликования: 25.03.2025
Страница №44 из 62:
Увеличить