Официальное опубликование правовых актов
ОФИЦИАЛЬНОЕ ОПУБЛИКОВАНИЕ
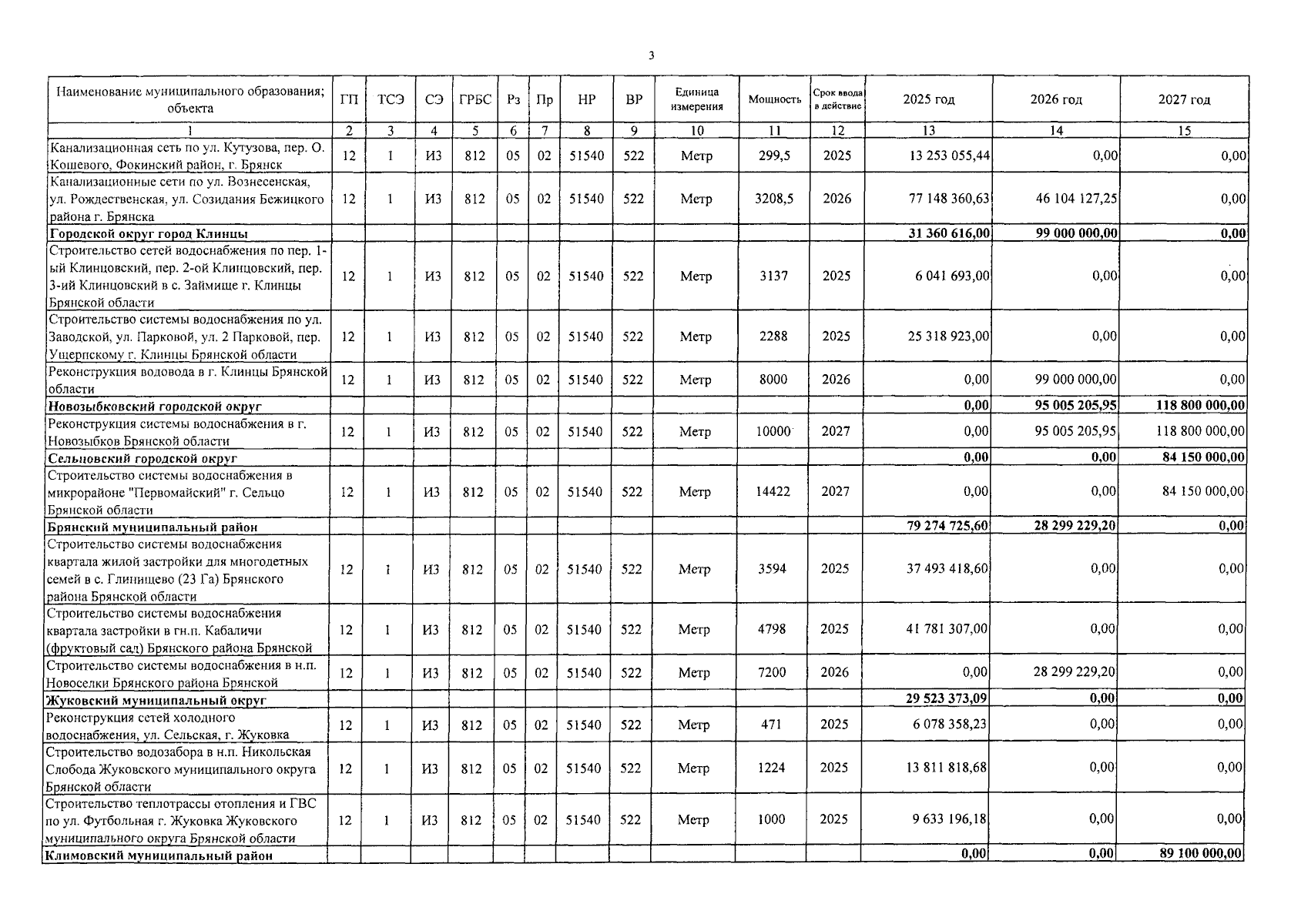
Постановление Правительства Брянской области от 11.02.2025 № 49-п
"О внесении изменений в постановление Правительства Брянской области от 23 декабря 2024 года № 715-п"
Номер опубликования: 3200202502140003
Дата опубликования: 14.02.2025
Страница №11 из 20:
Увеличить