Официальное опубликование правовых актов
ОФИЦИАЛЬНОЕ ОПУБЛИКОВАНИЕ
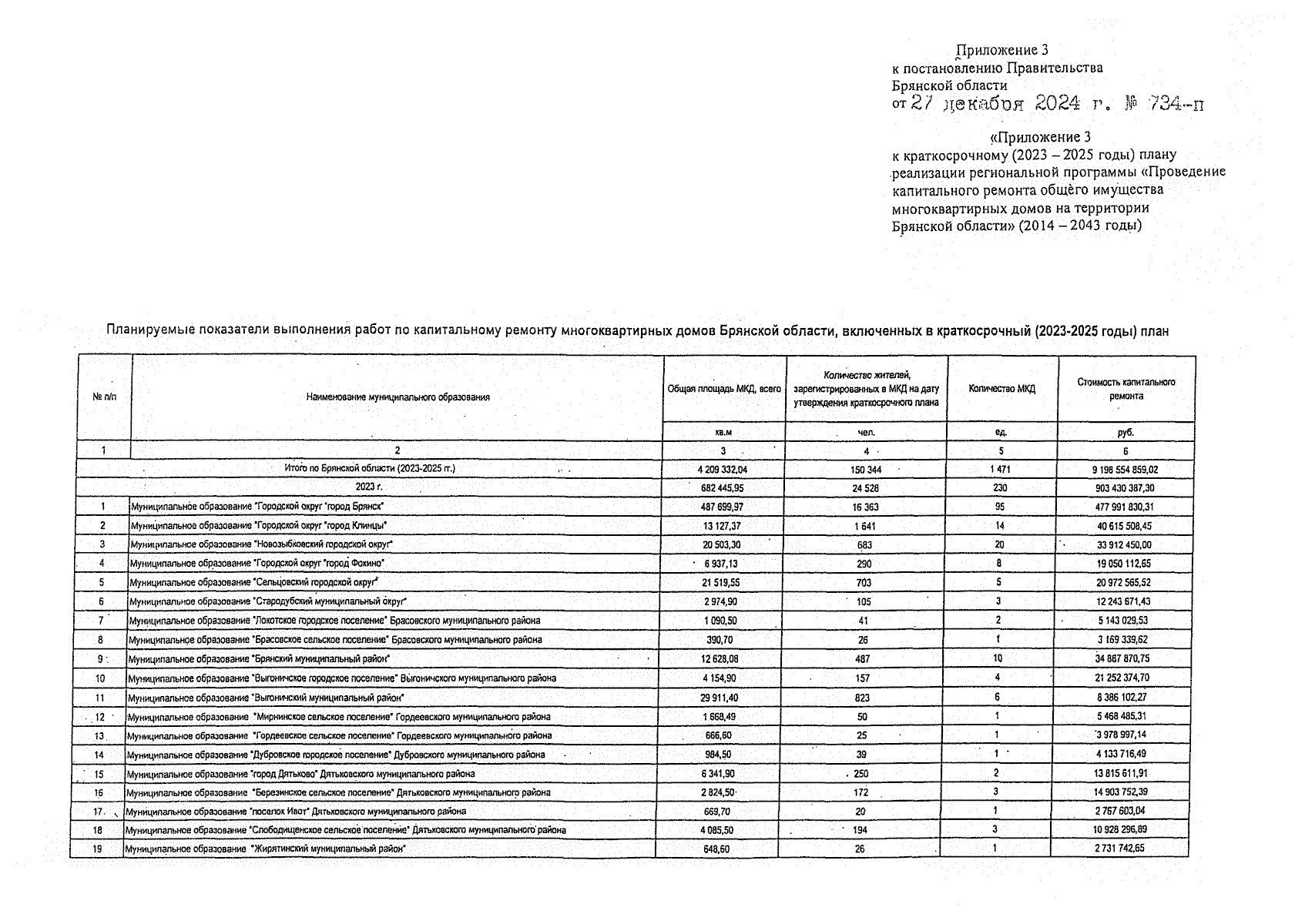
Постановление Правительства Брянской области от 27.12.2024 № 734-п
"О внесении изменений в краткосрочный (2023 — 2025 годы) план реализации региональной программы "Проведение капитального ремонта общего имущества многоквартирных домов на территории Брянской области" (2014 — 2043 годы)"
Номер опубликования: 3200202501010001
Дата опубликования: 01.01.2025
Страница №65 из 69:
Увеличить