Официальное опубликование правовых актов
ОФИЦИАЛЬНОЕ ОПУБЛИКОВАНИЕ
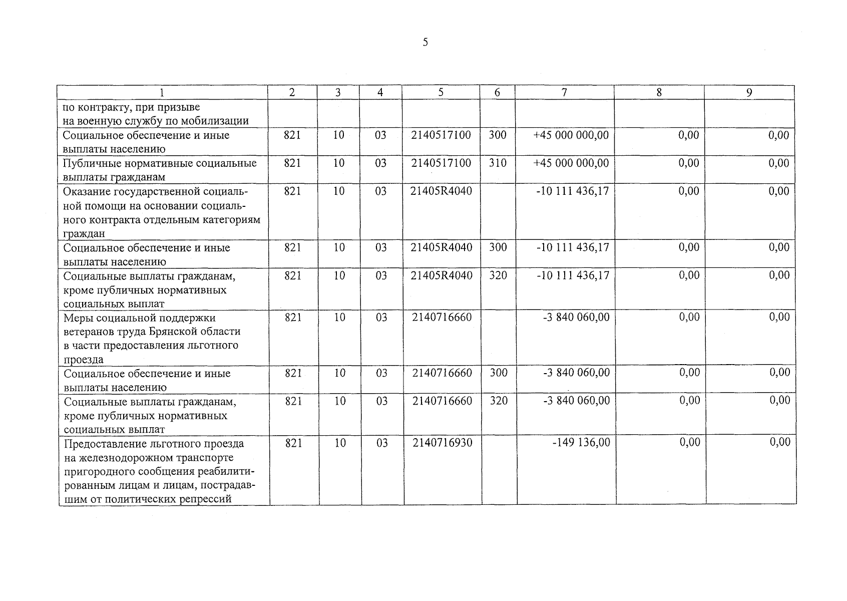
Распоряжение Правительства Брянской области от 13.12.2024 № 393-рп
"О принятии решения о внесении изменений в сводную бюджетную роспись областного бюджета в связи с перераспределением бюджетных ассигнований на финансовое обеспечение отдельных мероприятий"
Номер опубликования: 3200202412170001
Дата опубликования: 17.12.2024
Страница №7 из 9:
Увеличить