Официальное опубликование правовых актов
ОФИЦИАЛЬНОЕ ОПУБЛИКОВАНИЕ
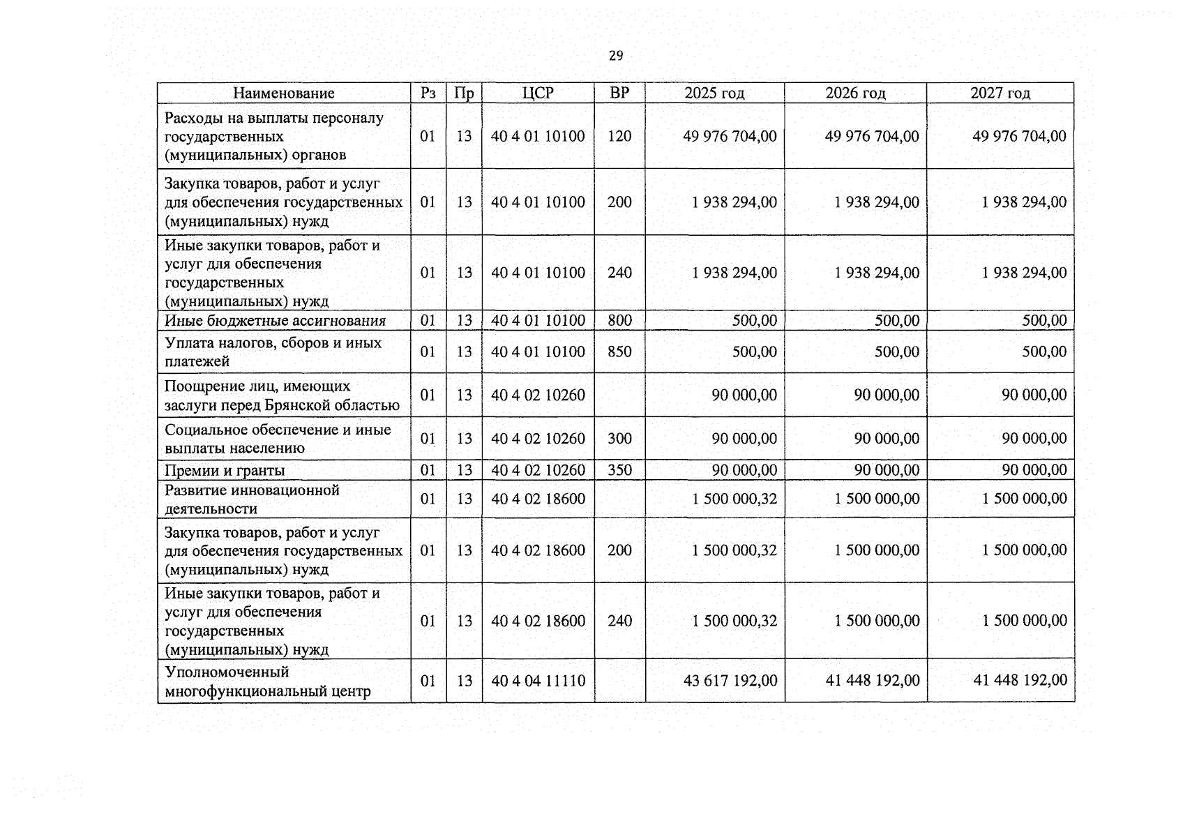
Закон Брянской области от 11.12.2024 № 98-З
"Об областном бюджете на 2025 год и на плановый период 2026 и 2027 годов"
Номер опубликования: 3200202412120004
Дата опубликования: 12.12.2024
Страница №368 из 938:
Увеличить