Официальное опубликование правовых актов
ОФИЦИАЛЬНОЕ ОПУБЛИКОВАНИЕ
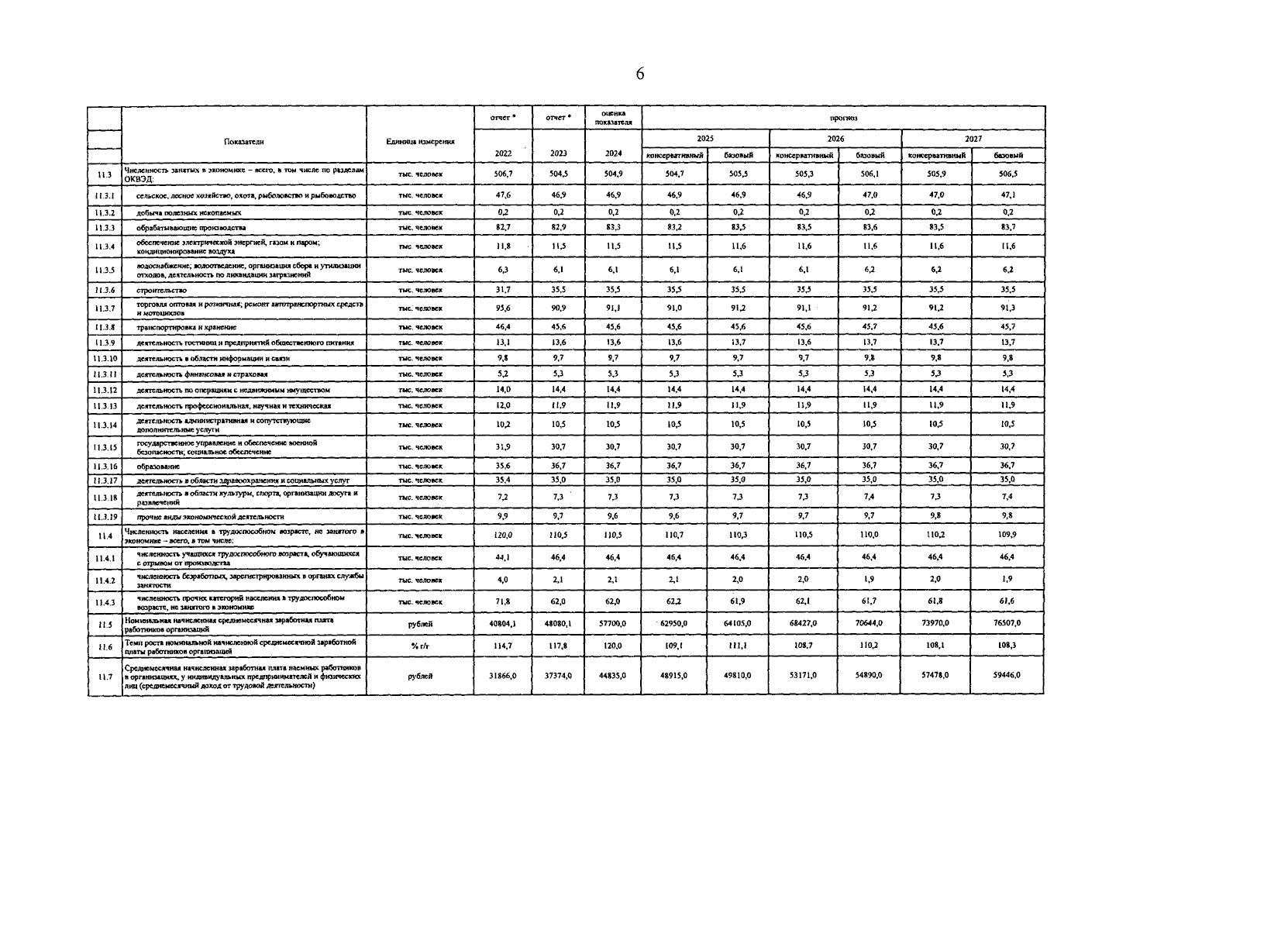
Распоряжение Правительства Брянской области от 28.10.2024 № 322-рп
"Об одобрении прогноза социально-экономического развития Брянской области на 2025 год и на плановый период 2026 и 2027 годов"
Номер опубликования: 3200202411010002
Дата опубликования: 01.11.2024
Страница №7 из 8:
Увеличить