Официальное опубликование правовых актов
ОФИЦИАЛЬНОЕ ОПУБЛИКОВАНИЕ
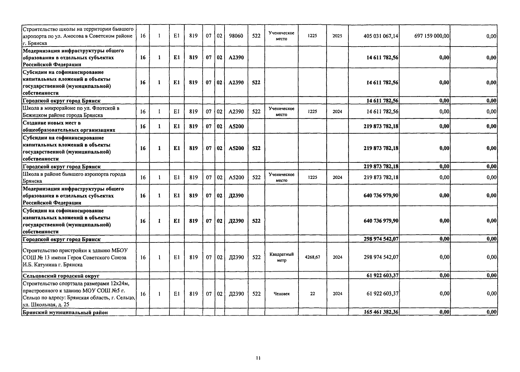
Постановление Правительства Брянской области от 28.10.2024 № 513-п
"О внесении изменений в постановление Правительства Брянской области от 7 декабря 2023 года № 631-п"
Номер опубликования: 3200202410310005
Дата опубликования: 31.10.2024
Страница №23 из 29:
Увеличить