Официальное опубликование правовых актов
ОФИЦИАЛЬНОЕ ОПУБЛИКОВАНИЕ
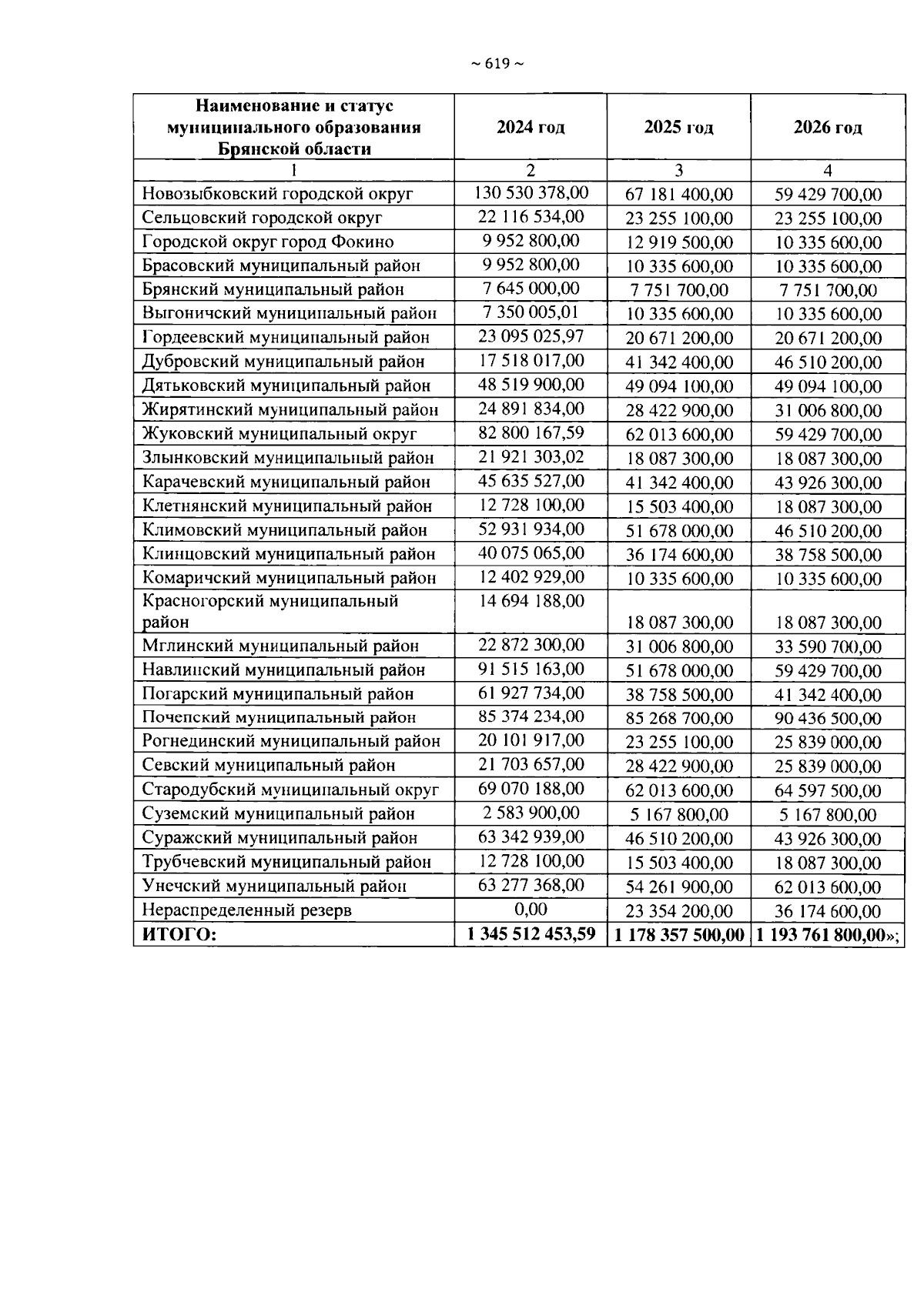
Закон Брянской области от 25.10.2024 № 68-З
"О внесении изменений в Закон Брянской области "Об областном бюджете на 2024 год и на плановый период 2025 и 2026 годов"
Номер опубликования: 3200202410250004
Дата опубликования: 25.10.2024
Страница №619 из 642:
Увеличить