Официальное опубликование правовых актов
ОФИЦИАЛЬНОЕ ОПУБЛИКОВАНИЕ
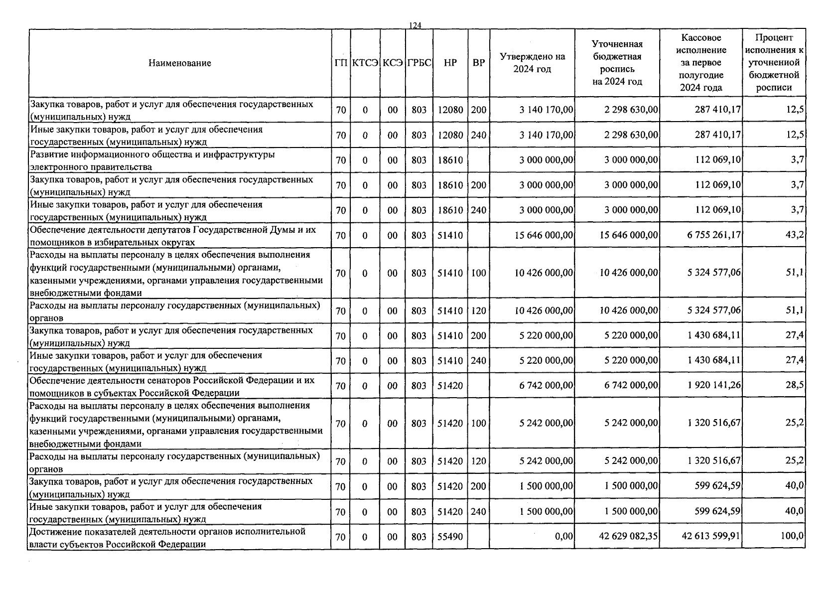
Постановление Правительства Брянской области от 05.08.2024 № 345-п
"Об утверждении отчета об исполнении областного бюджета за первое полугодие 2024 года"
Номер опубликования: 3200202408090009
Дата опубликования: 09.08.2024
Страница №317 из 334:
Увеличить