Официальное опубликование правовых актов
ОФИЦИАЛЬНОЕ ОПУБЛИКОВАНИЕ
Постановление Правительства Брянской области от 24.06.2024 № 276-п
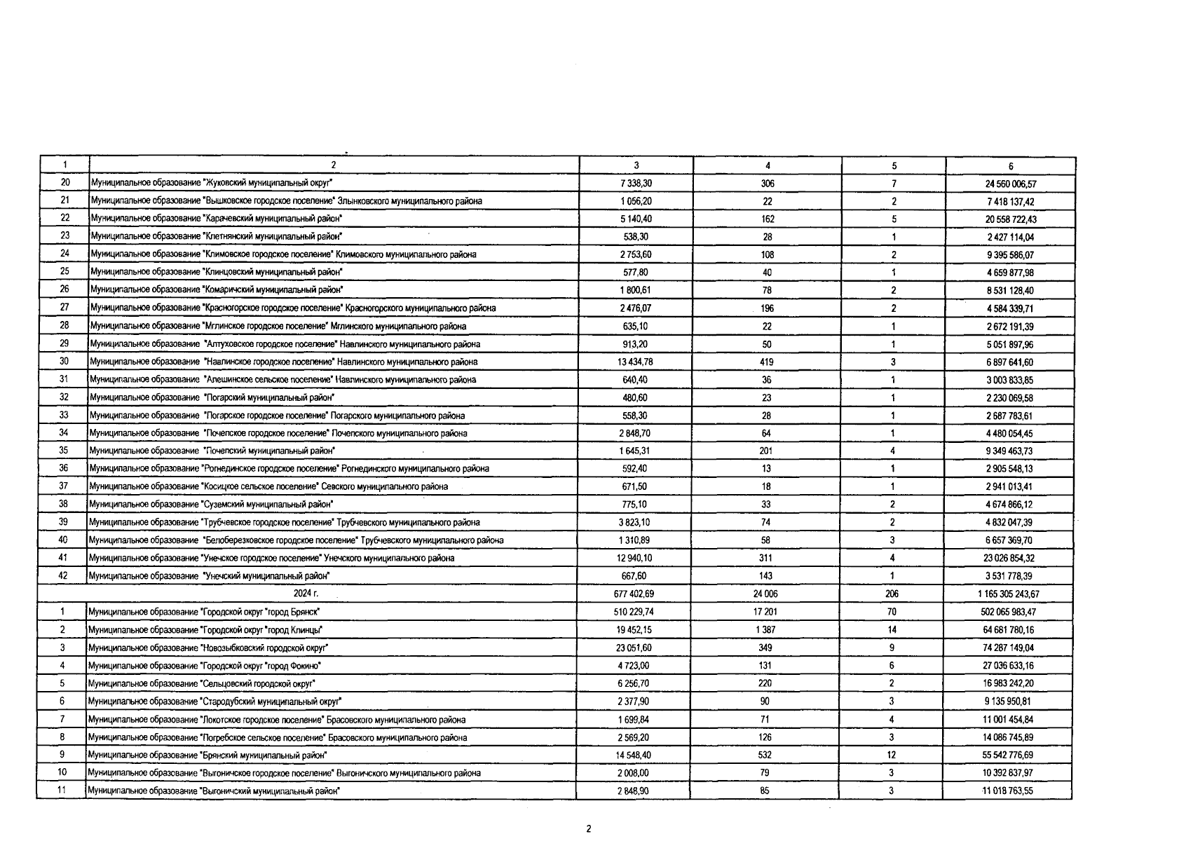
"О внесении изменений в краткосрочный (2023 — 2025 годы) план реализации региональной программы "Проведение капитального ремонта общего имущества многоквартирных домов на территории Брянской области" (2014 — 2043 годы)"
Номер опубликования: 3200202406270015
Дата опубликования: 27.06.2024
Страница №66 из 69:
Увеличить