Официальное опубликование правовых актов
ОФИЦИАЛЬНОЕ ОПУБЛИКОВАНИЕ
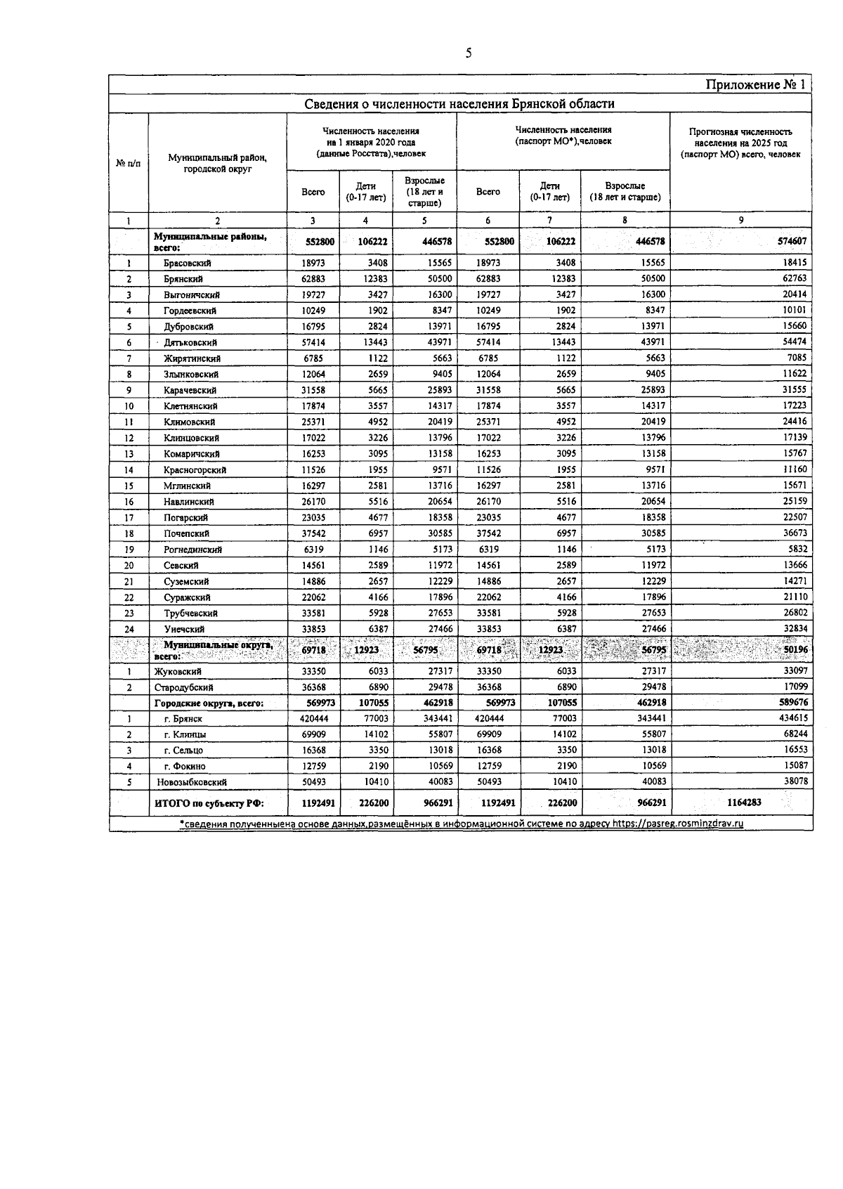
Постановление Правительства Брянской области от 22.04.2024 № 168-п
"О внесении изменений в постановление Правительства Брянской области от 14 декабря 2020 года № 593-п "Об утверждении региональной программы "Модернизация первичного звена здравоохранения Брянской области"
Номер опубликования: 3200202404290001
Дата опубликования: 29.04.2024
Страница №88 из 1319:
Увеличить