Официальное опубликование правовых актов
ОФИЦИАЛЬНОЕ ОПУБЛИКОВАНИЕ
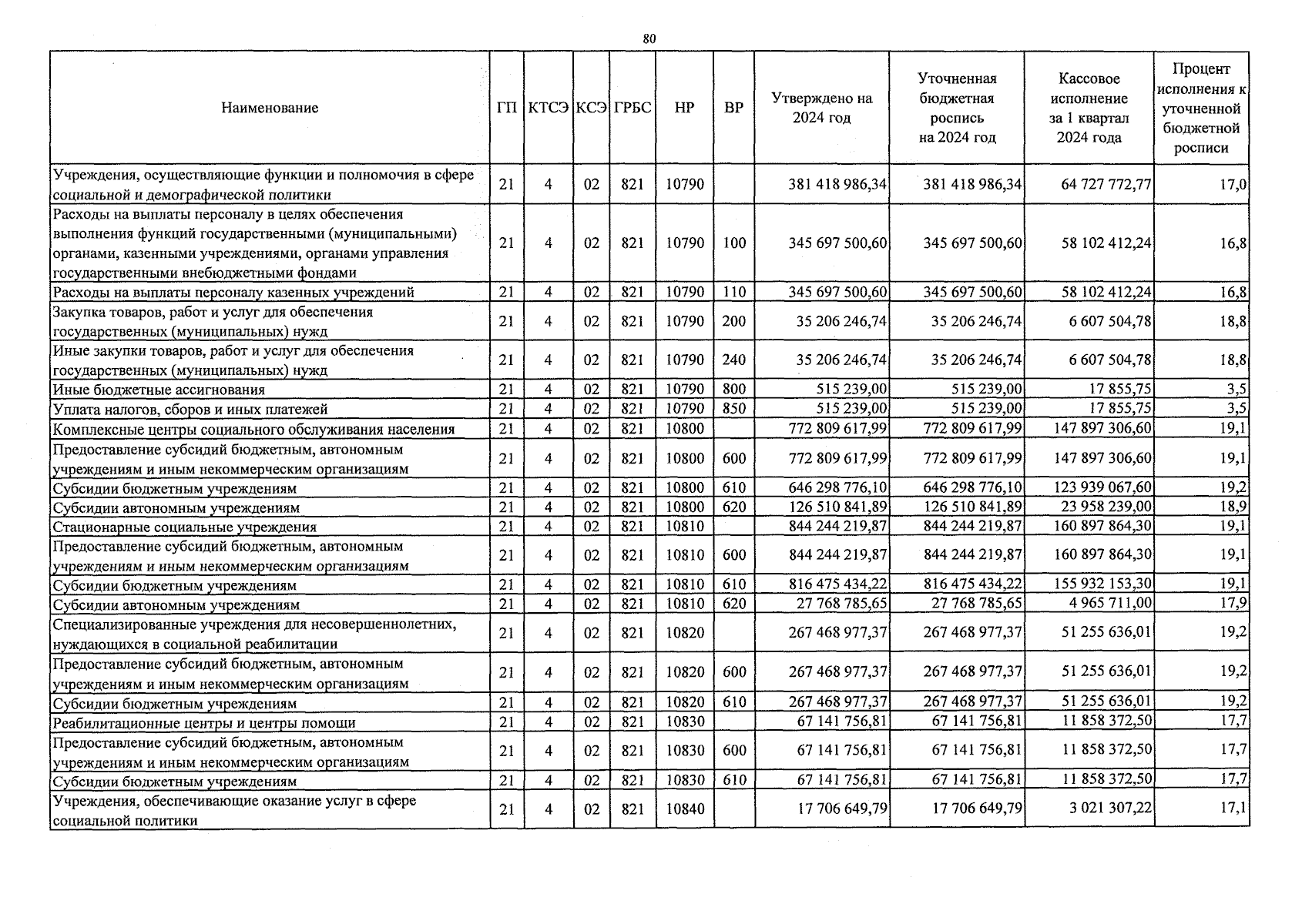
Постановление Правительства Брянской области от 22.04.2024 № 176-п
"Об утверждении отчета об исполнении областного бюджета за 1 квартал 2024 года"
Номер опубликования: 3200202404260010
Дата опубликования: 26.04.2024
Страница №261 из 322:
Увеличить