Официальное опубликование правовых актов
ОФИЦИАЛЬНОЕ ОПУБЛИКОВАНИЕ
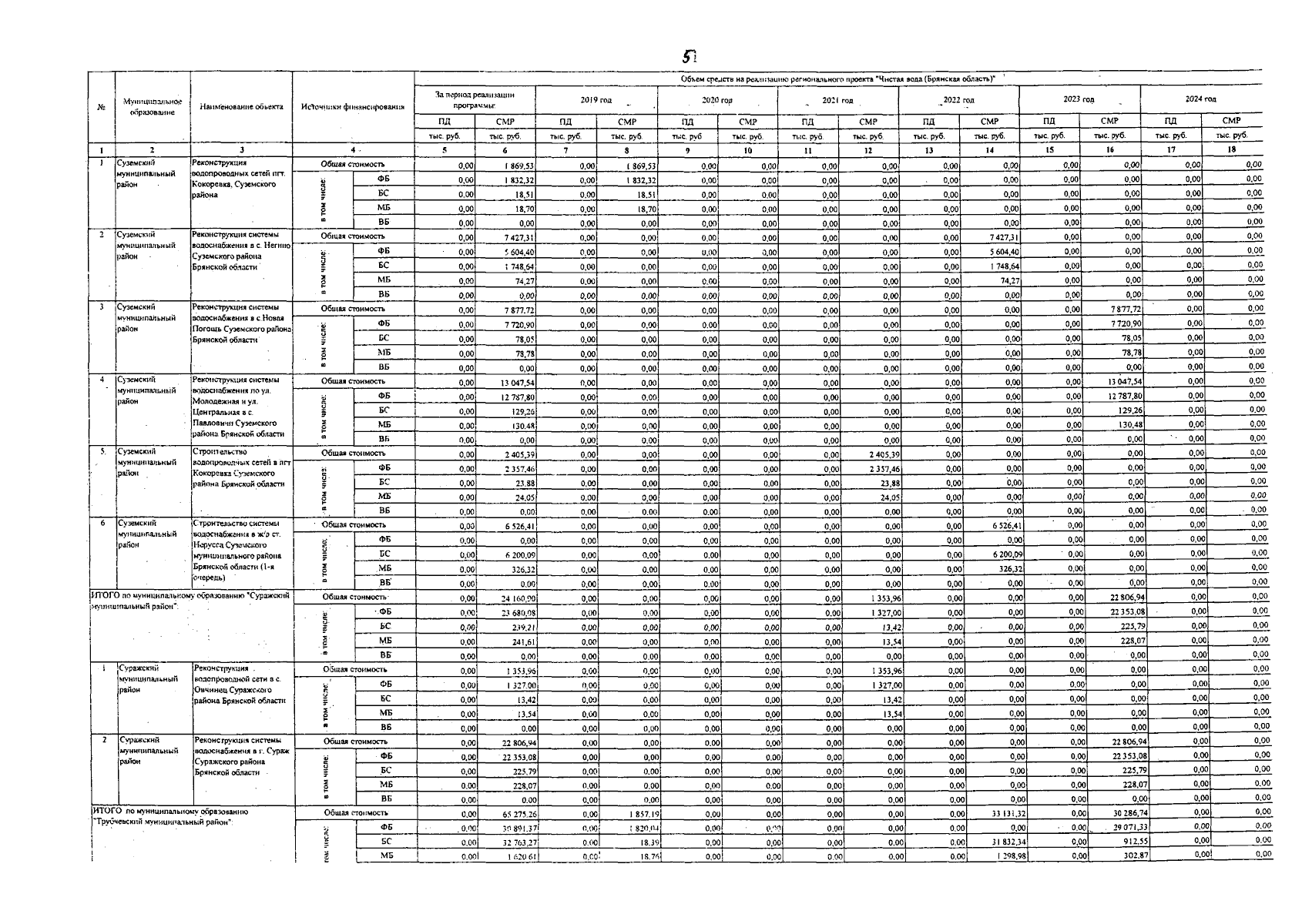
Постановление Правительства Брянской области от 08.04.2024 № 143-п
"О внесении изменений в государственную программу "Развитие топливно-энергетического комплекса и жилищно-коммунального хозяйства Брянской области"
Номер опубликования: 3200202404150007
Дата опубликования: 15.04.2024
Страница №51 из 144:
Увеличить