Официальное опубликование правовых актов
ОФИЦИАЛЬНОЕ ОПУБЛИКОВАНИЕ
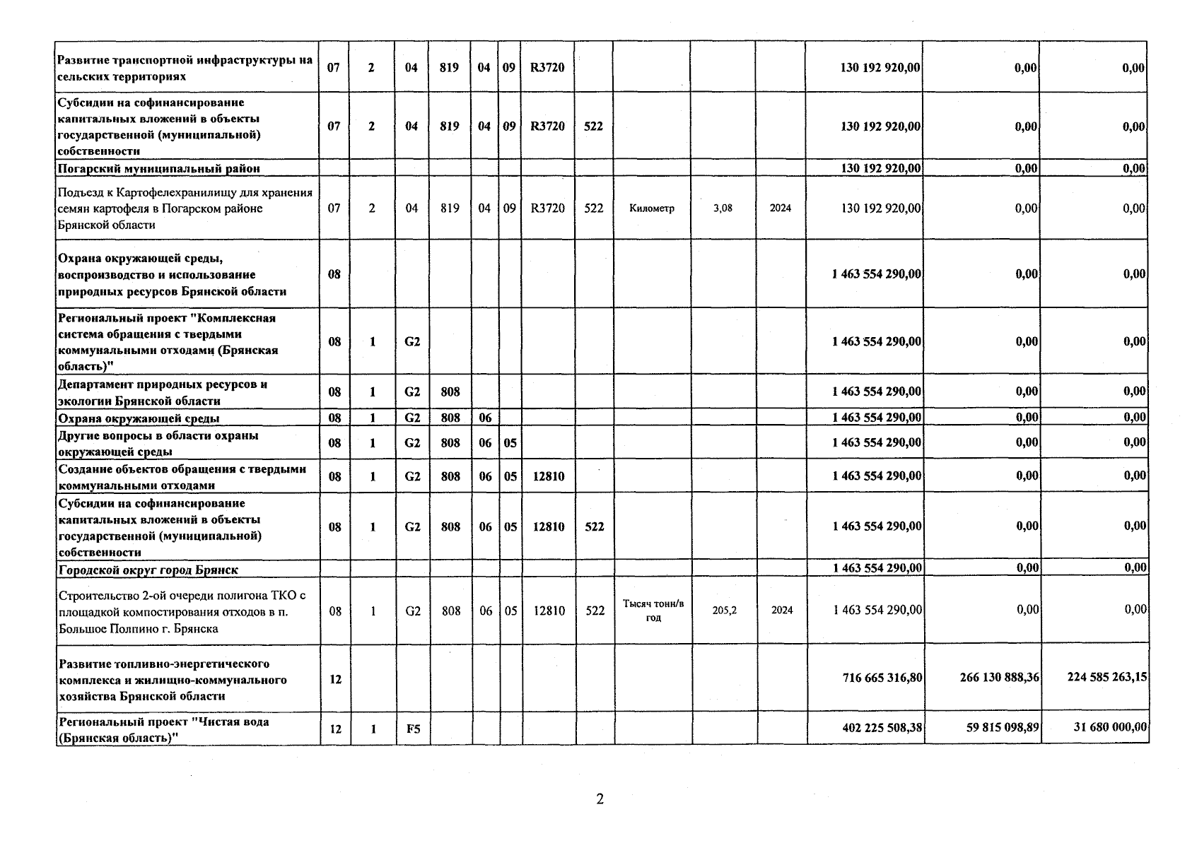
Постановление Правительства Брянской области от 04.03.2024 № 59-п
"О внесении изменений в постановление Правительства Брянской области от 7 декабря 2023 года № 631-п"
Номер опубликования: 3200202403070002
Дата опубликования: 07.03.2024
Страница №16 из 34:
Увеличить